Augmented Matrices

This:

Becomes: A linear system is consistent if it has at least one solution. Two matrices are row equivalent if a sequence of row operations transforms one matrix into the other.

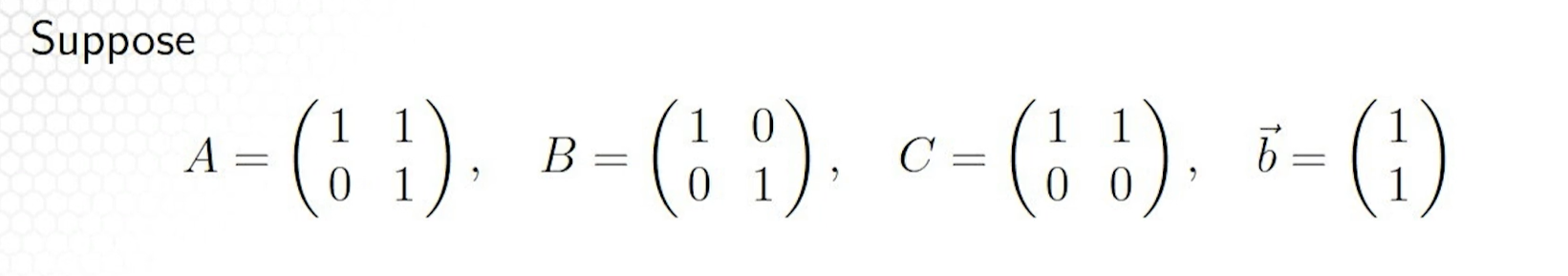
A and B are row equivalent A and C are not row equivalent So are consistent. And are not consistent.