In general, suppose the free variables for are . Then all the solutions to can be written as: For some .
This is Parametric Vector Form.

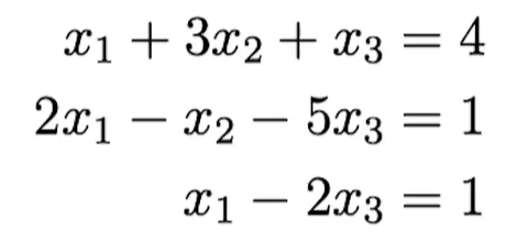
In RREF:

x_1 = 1+ 2x_3 \\ x_2=1-x_3 \\ x_3 = x_3 }

\text{if, }\mathbf{x}= \left[ \begin{array} \\ 1+2x_3 \\ 1-x_3 \\0+ x_3 \end{array} \right] \text{in parametric vector form}, \mathbf{x}= \left[ \begin{array} \\1 \\ 1 \\0 \end{array} \right]+x_3\left[ \begin{array} \\2 \\ -1 \\1 \end{array} \right]