is invertible if there is a so that:
If so we write,
has an inverse if and only if there is a pivot on every row and column.
For a
Compute
Use it to solve a Linear systems
Computing
- Row reduce the augmented matrix to RREF.
- If the reduction is in the form, then is invertible and . Else, is not invertible.
For example to find \left[ \begin{array} \\ 0 &1&2\\1&0&3\\0&0&1 \end{array} \right]^{-1}:
Why does this work?
Using elementary matrices we can see that when we row reduce the augmented matrix to RREF, we are simple applying row operation, in other words we are simple applying transformations using elementary matrices. So if,
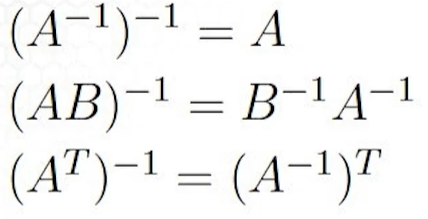
Properties
